domingo, 1 de diciembre de 2013

INVESTIGACION SOBRE CALCULO DE DIAGRAMAS UNITARIOS DE CRECIENTES

Estimación de la creciente de diseño utilizando el hidrograma unitario instantáneo: el caso de la cuenca del río Tecolutla, México

Estimation of flood design using the instantaneous hydrograph unit: a case study of the Tecolutla river watershed, Mexico

José Antonio Agustín Pérez Sesma* Laura Elena Maderey Rascón** Domitilo Pereyra Díaz* Uriel Antonio Filobello Niño*

* Licenciatura en Ciencias Atmosféricas, Facultad de Instrumentación Electrónica de la Universidad Veracruzana. Circuito Gonzalo Aguirre Beltrán s/n, Zona Universitaria. 91000 Xalapa, Veracruz, México. E–mail: sesma02@yahoo.com.mx ; dpereyra@uv.mx
** Departamento de Geografía Física, Instituto de Geografía, Universidad Nacional Autónoma de México, Ciudad Universitaria. Coyoacán, 04510 México, D.F.

Recibido: 3 de septiembre de 2010.
Aceptado en versión final: 9 de marzo de 2012.

Resumen
En esta investigación se utiliza el hidrograma unitario instantáneo (HUI) para conocer la avenida de diseño en la estación El Remolino, ubicada en la cuenca del río Tecolutla. Para conocer la avenida de diseño se utilizó la información pluviométrica de 24 estaciones, localizadas dentro y en las cercanías de la cuenca, para el periodo 1961– 1999, de éste se seleccionaron las 16 tormentas más intensas registradas en la cuenca, cuyo gasto máximo generado fue mayor a 3 000 m3/s. Los hidrogramas de diseño se obtuvieron utilizando las precipitaciones máximas en 24 horas, para los periodos de retorno de 25, 50 y 100 años. Se encontró que el hidrograma de diseño para 25 años tendría un gasto de pico de 21 053.7 m3/s, para 50 años de 23 653.5 m3/s y para 100 años de 26 281.4 m3/s. Estos resultados indican que el HUI sobreestima los gastos de pico, esto puede deberse a que las tormentas de diseño utilizadas tienen una duración en exceso de cuatro días, y precipitaciones en exceso de 495.4, 557.2 y 618.6 mm, respectivamente, para los periodos de retorno utilizados. Finalmente, los gastos estimados, con el HUI, y los gastos registrados mostraron un coeficiente R2=0.956, el cual muestra la efectividad del modelo propuesto.
Palabras clave: Precipitación, escurrimiento, cuenca, hidrograma unitario instantáneo, río Tecolutla.

Abstract
In this research an instantaneous hydrograph unit (IUh), is used to characterize the flood design at the El Remolino station, located in the Tecolutla river watershed. Rainfall data from 24 stations, all of them located within, or in the vicinity of the watershed was used for the period 1961–1999 to learn about the flood design. From this period we selected 16 more intense storms recorded in the watershed, which generated a peak discharge expenditure greater than 3000 m3/s. The design hydrograph was obtained, using the maximum rainfall within 24 hours, for the return periods of 25, 50 and 100 years. It was found that the design hydrographs for 25 years would have a discharge peak of 21 053.7 m3/s, to 50 years of 23 653.5 m3/s and 100 years of 26 281.4 m3/s. These results indicate that the HUI has an over–estimation in the peak discharge, this over estimation might be because the design storms used have a duration in excess of four days and rainfall in excess of 495.4 mm, 557.2 mm and 618.6 mm for each return period. Finally, the peak discharge estimated, with the HUI, and the peak discharge registered, show a coefficient R2 = 0. 956, what shows the effectiveness of the model here proposed.
Key words: Precipitation, runoff, watershed, instantaneous unit hydrograph, Tecolutla river.

Introducción
En México, la transformación de los paisajes boscosos y la contaminación han llegado a modificar el ciclo hidrológico, al cambiar la capacidad de captación y retención de humedad en la superficie. Algunos estudios muestran que la deforestación afecta el ciclo hidrológico al modificar la evaporación, la humedad en el suelo y los efectos que los árboles ejercen sobre los vientos (Magaña, 1999). Uno de los problemas más importantes que se presenta al diseñar una obra hidráulica, es determinar el gasto máximo o el hidrograma de la avenida máxima que pueda ocurrir con determinada frecuencia en el sitio del proyecto. El gasto máximo es utilizado principalmente para diseñar puentes y alcantarillas en ciertos tramos de un cauce, en tanto que la avenida máxima,1 es empleada para diseñar presas de almacenamiento, dado que el hidrograma de ésta permite conocer el volumen de agua que llegará al vaso, en función del cual se diseña la cortina de la presa, así como su vertedor y sus compuertas (Ferrer, 2000).
Debido a que la cantidad y calidad de la información disponible varía ampliamente de un problema a otro y a que no siempre se requiere de la misma precisión en los resultados, se ha desarrollado una gran cantidad de métodos para analizar la relación precipitación–escurrimiento, éstos se han agrupado en modelos empíricos, hidrológicos e hidráulicos (Viessman et al., 1977; Fuentes et al., 1981; Pereyra y Hernández, 1987; Aparicio, 2008).
Como es bien sabido, la información acerca del escurrimiento en una sección de interés, sobre una corriente, también es necesaria para diseñar obras de aprovechamiento o de protección (riego, agua potable, generación de energía eléctrica, inundaciones, etc.). En muchas ocasiones, el diseñador de obra hidráulica se encuentra con poca o nula información de mediciones directas que le permitan conocer la historia de los escurrimientos en la zona de interés, por lo que recurre a estimaciones a partir de las bases de datos de precipitación existentes. Asimismo, cuando la cuenca ha estado o estará sujeta a cambios de importancia (construcción de obras de almacenamiento, urbanización y deforestación, etc.), estos cambios alteran el régimen del escurrimiento, por lo que su registro histórico no representa adecuadamente el comportamiento futuro de la corriente. En los problemas de pronóstico de avenidas, es necesario contar con modelos matemáticos que permitan estimar el escurrimiento a partir de las características de la cuenca y la precipitación (Fuentes et al., 1981; Campos, 1998). Según Raudkivi (1979), Fuentes et al., (1981) y Pereyra (1993), la relación entre le precipitación y el escurrimiento es complicada, depende por una parte de las características de la cuenca (área, elevación, pendiente, orientación, tipo de suelo, drenaje, capacidad de almacenamiento y vegetación) y por otra de la distribución espacial y temporal de la precipitación. Los principales problemas que se han detectado en la cuenca del río Tecolutla, asociados al recurso hidráulico son: a) poca infraestructura para servicio de agua potable, alcantarillado y saneamiento urbano y rural; b) baja eficiencia en el uso del agua en riego; c) baja calidad del agua de las corrientes principales y algunos de sus afluentes, y d) fenómenos meteorológicos extremos, cada vez más recurrentes, que provocan inundaciones en la parte baja de la cuenca donde se ubican dos centros de población importantes (Gutiérrez Zamora y Tecolutla). Debido a este último problema enunciado, nace el interés por conocer la magnitud de las crecientes de diseño, la cual puede ser aplicada en la planeación de obras de control, puentes y alcantarillas, etc. Como antecedente de este estudio se tiene al estudio de Pereyra et al. (2012), quienes utilizaron el modelo numérico HEC–HMS (Hydrologic Engineering Center–Hydrologic Modell System, USA) para conocer los escurrimientos máximos de tormentas severas registradas en la cuenca, teniendo resultados muy aceptables (Tabla 9 y Figura 23).

Metodología
La cuenca del río Tecolutla se encuentra ubicada geográficamente entre los 19º30' y 20º30' latitud norte, y los 97º y 98º15' longitud oeste del meridiano de Greenwich (Figura 1). Tiene un área de 7 342 km2 hasta la desembocadura del Golfo de México, la cual se encuentra distribuida entre los estados de Tlaxcala, Hidalgo, Puebla y Veracruz (Pérez, 2009; Pereyra et al., 2010). En esta cuenca se pueden distinguir tres zonas: la parte alta, ubicada dentro de la Sierra Madre Oriental, en la que los cauces se encuentran alojados en cañones angostos y profundos con fuertes pendientes; la parte media, donde disminuyen las pendientes de los cauces y es posible construir vasos de almacenamiento para generar energía eléctrica; la parte baja, que atraviesa la planicie costera del centro del estado de Veracruz, hasta la desembocadura en el Golfo de México. La corriente principal, se origina entre los estados de Tlaxcala y Puebla y se le conoce primero por los nombres de arroyo Zapata, río Coyuco, río Apulco y finalmente río Tecolutla (Figura 2), (Pereyra et al., 2010).
La parte alta, entre los estados de Tlaxcala, Hidalgo y Puebla, la precipitación media anual es de 700 mm, en tanto que en la parte media es de 2 500 mm, con dos centros de alta precipitación en Jopala y Atexcaco, Puebla, donde la precipitación media anual alcanza los 3 400 mm, y en la parte baja la precipitación es de 1 400 mm (Pereyra y Hernández, 1987). En lo que concierne a la precipitación máxima media anual en 24 horas; en la parte alta de la cuenca es de 200 mm, en la parte media es de 400 mm y en la parte baja de 300 mm. Asimismo, la cuenca del río Tecolutla es afectada últimamente, con mayor frecuencia, por los ciclones tropicales que se forman en el Mar Caribe y en el Golfo de México, los cuales generan precipitaciones intensas, durante el periodo de julio a septiembre, ocasionando crecientes considerables. Además, es afectada por masas de aire frío provenientes del polo norte, denominados Nortes, presentándose éstos de octubre a marzo (Tejeda et al., 1989; Pérez, 2009).
En esta cuenca se construyeron los primeros aprovechamientos hidroeléctricos de importancia en nuestro país, sobre el río Necaxa se encuentra el sistema hidroeléctrico del mismo nombre, que perteneció a la desaparecida compañía, de Luz y Fuerza Motriz. Posteriormente la Comisión Federal de Electricidad (CFE), utilizando el escurrimiento de los ríos Xiucayucan y Apulco, empezó a operar la planta Hidroeléctrica Mazatepec. También, existen algunas plantas hidroeléctricas de poca capacidad de generación, como la que proporciona energía a la población de Zacapoaxtla, Puebla; la planta Atexcaco, que utiliza las aguas de los arroyos que le confluyen al río Xiucayucan por su margen derecha (Pereyra et al., 2010).
La cuenca del río Tecolutla se caracteriza por estar enclavada dentro de tres provincias fisiográficas: Eje Volcánico Transversal (parte alta y media), Sierra Madre Oriental (parte media) y la Llanura Costera del Golfo (parte baja) como se indica en la Figura 3. Los tipos de vegetación predominante son: bosque de coníferas, bosque de encino, bosque mesófilo de montaña, selva subcaducifolia y vegetación hidrófila como se indica en la Figura 4 (Pérez, 2009).
Para conocer el hidrograma de la creciente de diseño de la cuenca del río Tecolutla, primero se ubicaron en un mapa las estaciones climatológicas e hidrométricas seleccionadas, con la ayuda del Software Surfer 7 (SMS, 1999), (Figura 2). Las 24 estaciones climatológicas seleccionadas contaban con al menos 25 años de registro (Tabla 1). Las variables utilizadas fueron precipitación y escurrimiento diarios, las cuales fueron proporcionadas por la Comisión Nacional del Agua (CLICOM, 2004) y por la Comisión Federal de Electricidad (CFE, 2004), para el periodo 1961–1999 (cabe mencionar que se utilizó este periodo debido a que la estación hidrométrica El Remolino fue destruida por la inundación ocurrida en los primeros días del mes de octubre de 1999 y recientemente reconstruida). Para el análisis estadístico se utilizó el Software Statistica versión 5.5 y para el trazo de isoyetas se requirió del Software Surfer versión 7, así como de un planímetro digital para el cálculo de áreas. Además, se seleccionaron las fechas de las tormentas más desfavorables (lluvias intensas que duran varias horas) que generaron un gasto mayor a 3 000 m3/s en la estación hidrométrica El Remolino (Tabla 2 y Figura 5. Asimismo, se realizaron pruebas estadísticas de homogeneidad (td de Student) a cada una de las bases de datos de precipitación y escurrimiento de las estaciones consideradas en esta investigación, las cuales cumplieron con el criterio de homogeneidad (Campos, 1998; Escalante y Reyes, 2002): la prueba consistió en determinar el valor absoluto de la td de Student de cada muestra y compararlo con el valor de la distribución de Student de dos colas v = n1 + n2–2 y grados de libertad, para un nivel de confiabilidad de ∞ = 0.05.

Precipitación
La precipitación media de la cuenca se obtuvo utilizando promedios aritméticos y los promedios ponderados de Thiessen y el de isoyetas (Ponce, 1989; Campos, 1998; Aparicio, 2008). Para conocer la precipitación máxima probable (pmp) que se pueda presentar para un determinado periodo de retorno (intervalo promedio de tiempo dentro del cual un evento de cierta magnitud puede ser igualado o excedido por lo menos una vez) asignado a una cierta obra hidráulica, se ajustó la función de distribución doble exponencial o Gumbel a las precipitaciones máximas en 24 horas ocurridas en la cuenca. La función Gumbel (Ecuación 1) fue elegida entre otras para valores extremos de precipitación, en virtud de haber sido empleada por otros autores para precipitaciones máximas en la región (Pereyra et al., 1984; Pereyra, 1993; Campos, 1998). La expresión matemática de la función de distribución doble exponencial o de Gumbel se puede expresar como se indica en la ecuación 1 (Yevjevich, 1972; Miroslava, 1992; Pérez, 2009):
donde a y b se determinarán por regresión no lineal con el software Statistic versión 5.5; Tm es el periodo de retorno asignado a la obra; Y(Tm) es el valor de la variable Y, pronosticado para el periodo de retorno Tm.

Modelos lluvia–escurrimiento
Debido a la existencia de una gran cantidad de modelos lluvia–escurrimiento, es conveniente agruparlos en diferentes categorías a efecto de seleccionar el más apropiado para cada caso particular. Una forma de clasificarlos es de acuerdo con la información que se requiere para su calibración (Fuentes et al., 1981); de esta manera los modelos de lluvia escurrimiento se pueden dividir en tres grandes grupos: a) Modelos Empíricos que requieren únicamente de las principales características físicas promedio de la cuenca en estudio; dentro de estos modelos se tiene al método de envolventes (Creager y Lowry, entre otros) que relacionan el gasto máximo con el área de la cuenca y un coeficiente de escurrimiento de la cuenca o de la región (Fuentes et al., 1981; Pereyra y Hernández, 1987); b) Modelos Hidráulicos para los cuales se debe de disponer, además de los registros simultáneos de precipitación y escurrimiento, de las características físicas detalladas de la cuenca, los modelos más representativos de esta idea son el de Stanford y el del Departamento de Estudios Geológicos de Estados Unidos, U.S.G.S. (Pereyra y Hernández, 1987; Chow et al., 1994); c) Modelos Hidrológicos para los que es necesario contar con registros simultáneos de precipitación y escurrimiento, para utilizarlos en el pronóstico se recomienda que se les calibre primero para la cuenca de interés, utilizando los datos de lluvia y escurrimiento observados (Fuentes et al., 1981; Pereyra y Hernández, 1987; Pereyra et al., 2012). Para este estudio se utilizó un modelo del tipo hidrológico; a diferencia de los modelos empíricos éstos pueden utilizarse con cualquier tipo de lluvia, tomando en cuenta sus variaciones en el tiempo. Entre estos modelos se encuentran los derivados del concepto de hidrograma unitario, en los que se calcula una función que relaciona las entradas (lluvia) con las salidas (escurrimiento), haciendo caso omiso del fenómeno físico que ocurre en la cuenca (Figura 6).
Hidrogama unitario (HU). Chow et al. (1994) consideraron que este hidrograma es la función respuesta de periodicidad unitaria para un sistema hidrológico lineal. El hidrograma unitario se define como la gráfica del escurrimiento directo resultante de 1 mm (aunque también puede ser de una pulgada, un centímetro, etc.) de lluvia en exceso, que se genera, de manera uniforme, sobre un área de drenaje (cuenca) a razón constante, durante la duración de la precipitación efectiva (Figura 7).
Hidrograma unitario instantáneo (HUI). Para superar las limitaciones en donde se supone que la intensidad de la lluvia es constante, en toda su duración, se han desarrollados métodos que, apoyados en los principios del HU, permiten que si se dispone de información confiable de las variaciones de la intensidad de la lluvia con el tiempo, estas variaciones sean tomadas en cuenta.
Supóngase que en una cuenca dada se dispone de información sobre la precipitación media para intervalos pequeños de tiempo Λt y que se conoce el HU asociado a una tormenta de la misma duración, Λt. De acuerdo con el HU, si se presentara una tormenta compleja se produciría un hidrograma como el de la Figura 8 (Raudkivi, 1979).
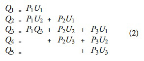
Así, si Ui es la i–ésima ordenada del HU (Figura 8a) y Pj es la j–ésima barra de precipitación en exceso del hietograma (Figura 8b), las ordenadas Qi del hidrograma resultante (Figura 8f) son, en este caso,
En general, las k–ésimas ordenadas del hidrograma, Qk es:
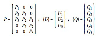
Considérese el problema inverso, es decir, en el que se conoce el hidrograma (Figura 8f) y la precipitación (Figura 8b) y se desea obtener un HU como el de la Figura 8a. Consecuentemente, el sistema de ecuaciones 2 sigue siendo válido; este sistema se puede escribir como:
donde:
La incógnita es entonces el vector {U}. Sin embargo, en el sistema 2 se tendrían cinco ecuaciones con tres incógnitas, por lo que el sistema es indeterminado y no existen valores de {U} que satisfagan simultáneamente las cinco ecuaciones. Así, para tener una solución del sistema 3 es necesario aceptar un cierto error en cada uno de los componentes de {U}; ciertamente, es deseable que dicho error sea el mínimo posible. Se puede demostrar que se comete el mínimo error en los valores de {U} si la ecuación 3 se multiplica por la matriz transpuesta de P (Raudkivi, 1979; Aparicio, 2008):
Lo que en este caso resultaría:
El sistema matricial 5 es ya un sistema determinado, con una solución única. Esta solución proporciona el valor del vector {U} buscado. Nótese que para el HUI, siempre debe especificarse la duración en exceso, que es la duración de las barras del hietograma de la Figura 8b. Sin embargo, en contraposición con el HU tradicional, en el instantáneo se tiene una mayor flexibilidad en el manejo de esta duración en exceso.
Asimismo, en todos los casos el número de ordenadas del hidrograma final NQ está ligado con el número de barras del hietograma NP y al número de ordenadas del HU Nu por medio de la ecuación (Fuentes et al., 1981; Aparicio, 2008):
Con esta ecuación es posible saber de antemano el número de ordenadas que tendrá el HU y, por lo tanto, el orden de la matriz de coeficientes del sistema de ecuaciones.

Resultados
La precipitación media de las tres tormentas más intensas (1974, 1981 y 1986) de las 16 que se presentan en la Tabla 2 se muestran en la Tabla 3 y en las Figura 9, 10 y 11. La precipitación media anual de la cuenca del río Tecolutla se presenta en la Tabla 4 y en la Figura 12. En las Figura 9, 10, 11 y Figura 12 se puede observar que existen dentro de la cuenca, dos centros de alta precipitación, ubicados en las regiones de Jopala (7) y Atexcaco (21), Puebla, aseveración que confirma lo dicho anteriormente, en el apartado "metodología".
La precipitación máxima probable esperada (pmp) para periodos de retorno de 25, 50 y 100 años, de acuerdo con la ecuación 1, se muestran en la Tabla 5, así como en las Figura 13, 14 y 15, donde se puede apreciar que existe una gran similitud con la forma del mapa de isoyetas medias anuales de la cuenca (Figura 12).
En la Tabla 6 se muestran los valores del escurrimiento directo (Ved), el volumen de escurrimiento base (Veb), la lámina de precipitación en exceso (Le) y el índice de infiltración media de la cuenca (Φ) para cada tormenta, los cuales se estimaron usando las técnicas convencionales presentadas en Springall (1970), Campos (1998), Escalante y Reyes (2002), y Aparicio (2008).
a) Para obtener el hidrograma unitario se consideró a la tormenta del 23 al 28 de agosto de 1981 como la más representativa para pronosticar la avenida de diseño, siendo la duración en exceso de esta tormenta de cuatro días, como se indica en la Tabla 7.
Las columnas 3 y 4 de la Tabla 7, muestran que NQ=7, NP=4 y por la ecuación 6 se obtuvo que Nu=4. Reemplazando estos valores en la ecuación 2a, se obtiene el sistema de ecuaciones 7.
La solución del sistema 7 es U1=100.03, U2=31.3, U3=13.94 y U4=2.52, las cuales representan las ordenadas del hidrograma unitario de la cuenca del río Tecolutla (Figura 16).
b) Calibración del modelo HUI. El hidrograma del escurrimiento directo obtenido con el modelo propuesto, en la ecuación 2a, para la tormenta mostrada en la Tabla 7, se presenta en la Figura 17, donde se observa un buen ajuste con el hidrograma observado.
En la Figura 18 se presenta la correlación que existe entre los gastos observados contra estimados. En esta figura se puede observar que el valor del coeficiente de determinación R2= 0.9599, lo que indica que el modelo del HUI explica el 95.99% de los casos. Asimismo, en la Tabla 8 se presentan los valores comparativos de los gastos directos observados contra estimados.
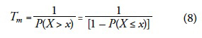
c) Para escoger el periodo de retorno que se le asignará a la tormenta de diseño, se aplicó la siguiente expresión matemática (Escalante y Reyes, 2002):
donde: x es la magnitud de un evento hidrológico; P probabilidad de que ocurra una tormenta; Tm periodo de retorno de la tormenta, en años. En este caso se fijaron Tm de 25, 50 y 100 años considerando que las obras a realizar en la región pueden ser de control de inundaciones.
d) Con base en la duración efectiva de las tormentas consideradas como severas en este estudio, se fijó una duración de cuatro días para la tormenta de diseño.
e) Con los periodos de retorno obtenidos en c) y la duración efectiva supuesta en d), se calculó la altura de precipitación diaria de la cuenca con base a las curvas IDT (Figura 19).
f) Con los datos del inciso anterior se obtuvieron los hietogramas de las tormentas de diseño (Figura 20, 21 y 22).
g) Con los datos de los hietogramas obtenidos en el paso anterior y con el índice de infiltración media, ψ = 35.21mm/día (Tabla 6, columna 7), se obtuvo la lluvia en exceso; siendo para el periodo de retorno de 25 años de 495.4 mm, para 50 años de 557.2 mm y para 100 años de 618.6 mm, con una duración en exceso de cuatro días para las tormentas de diseño, para obtener la altura de precipitación en exceso, se restó la infiltración media de la cuenca del río Tecolutla a cada barra del hietograma de diseño y se sumaron los resultados.
h) Para conocer la avenida o creciente de diseño, para los periodos de retorno seleccionados, se multiplicaron las ordenadas del hidrograma unitario de diseño por las alturas de la precipitación en exceso. De las avenidas de diseño mostradas en las Figura 20, 21 y 22, se observa que los gastos máximos pronosticados son de 21 053.7 m3/s, 23 653.5 m3/s y 26 281.4 m3/s para los periodos de retorno de 25, 50 y 100 años, respectivamente. Tomando en cuenta el área de captación hasta la salida al mar y la precipitación en exceso, en toda la cuenca, para cada una de las tormentas de diseño, el volumen que llegaría a la desembocadura al mar sería de aproximadamente 3 637.2x106, 4 091x106 y 4 541.8x106 m3, respectivamente.

Discusión
El modelo del HUI requiere una mayor cantidad de datos, entre éstos los registros continuos de escurrimiento y de precipitación de la cuenca en estudio, pero tiene la ventaja respecto a otros métodos ya que permite conocer la avenida y con ello el volumen de escurrimiento, así como el gasto máximo.
La Tabla 9 y Figura 23 muestran un comparativo entre gastos estimados por el HUI y el HEC–HMS (Pereyra et al., 2012) con los observados, donde se puede apreciar que el HUI tiene un R2=0.9561 y el HEC–HMS un R2=0.9921, lo cual indica la efectividad del modelo HUI.
En vista de los daños generados, en los últimos años, por las inundaciones ocurridas en la cuenca del río Tecolutla, el cálculo y pronóstico de las avenidas de diseño para tal región utilizando el HUI, es de suma importancia para la toma de decisiones en la prevención y disminución del riesgo de la población. Cabe mencionar que no se puede hacer un análisis de los impactos de una tormenta extrema o de escurrimientos súbitos, sin mencionar que las inundaciones provocadas por el desbordamiento de los ríos no necesariamente se debe a tormentas extraordinarias sino que, en primera instancia, se puede deber a factores antropogénicos (como por ejemplo actividades agrícolas y ganaderas, entre otras).
Finalmente, debido a la magnitud de los gastos máximos estimados, se recomienda construir obras de captación o de control para disminuir el riesgo por inundaciones en la parte baja de la cuenca, lugar donde se ubican las dos ciudades más importantes (Gutiérrez Zamora y Tecolutla).

Referencias
Aparicio, M. F. (2008), Fundamentos de hidrología de superficie, Limusa, México.         [ Links ]
Campos, D. F. (1998), Procesos del ciclo hidrológico, Universidad Autónoma de San Luis Potosí, México.         [ Links ]
CFE (2004), "Boletín Hidrométrico Histórico Digital". "División Hidrométrica Golfo de la Comisión Federal de Electricidad, México.         [ Links ]
Chow, V. T., D. R. Maidment y L. W. Mays (1994), Hidrología Aplicada, McGraw–Hill, Colombia.         [ Links ]
CLICOM (2004), "Sistema para el manejo automático de base de datos climatológicos en computadoras personales: Base nacional de datos, edición 2004", CONAGUA, México.         [ Links ]
Escalante, S. C. y Ch. L. Reyes (2002), "Técnica estadísticas en hidrología", Facultad de Ingeniería, UNAM, México.         [ Links ]
Ferrer, F. J. (2000), "Recomendaciones para el cálculo hidrometeorológico de avenidas, CEDES, Madrid.         [ Links ]
Fuentes, M. O., M. R. Domínguez y V. Franco (1981), "Relación entre precipitación y escurrimiento", Manual de diseño de obras civiles, Sección hidrotecnia, CFE, México.         [ Links ]
Magaña, V. O. (1999), Los impactos de El Niño en México, Secretaría de Gobernación, UNAM, IAI, SEP/ CONACYT, México.         [ Links ]
Miroslava, U. (1992), "The extremal value distribution of rainfall data at Belgrado, Yugoslavia", Atmósfera, núm. 5, pp. 47–56.         [ Links ]
Pereyra, D., B. E. Palma y B. Silva (1984), Gastos máximos en ríos del estado de Veracruz, México, Facultad de Física, Centro de Meteorología Aplicada, Universidad Veracruzana, México.         [ Links ]
Pereyra, D. D. y A. Hernández T. (1989), "Avenida de diseño: cuando no se tienen registros hidrométricos en el sitio del proyecto", GEOS, Bol. Unión Geofís., México, núm. 9, pp. 95–102.         [ Links ]
Pereyra, D. D. (1993), "Estimation of the design flood of Tecolutla river, Mexico, using the probable maximum raifall", Geofísica Internacional, vol. 32, núm. 1, pp. 35–39.         [ Links ]
Pereyra Díaz, D., J. A. A. Pérez Sesma y M. R. Salas Ortega (2010), "Hidrología", en Florescano, E., J. Ortiz Escamilla (coords.), Capítulo en Atlas del Patrimonio Natural, Histórico, Cultural de Veracruz, tomo I, Gobierno del Estado de Veracruz–Universidad Veracruzana.         [ Links ]
Pereyra Díaz, D., C. Hoyos Reyes y J. A. A. Pérez Sesma (2012), "Informe Técnico: Simulación del escurrimiento de la cuenca del río Tecolutla generado por tormentas severas bajo escenarios de cambio climático", Programa de Estudios de Cambio Climático de la Universidad Veracruzana (PECCUV), Universidad Veracruzana, México.         [ Links ]
Pérez Sesma, J. A. A. (2009), Estudio del agua de es

HIDROGRAMAS UNITARIOS DE CRECIENTES


 Autor: Gustavo A. Silva Medina

Generalidades
Las crecientes son eventos extraordinarios que se presentan en los cauces de las corrientes naturales durante las cuales las magnitudes de los caudales superan con creces los valores medios que son normales en dichas corrientes.
La predicción de la magnitud de la creciente para el diseño de obras hidráulicas ha sido siempre motivo de controversia debido a que los métodos que analizan crecientes deben realizar una proyección hacia el futuro, aplicando teoría de probabilidades, con un alto grado de incertidumbre.

Si se conocen con un nivel de aproximación razonable las magnitudes de las crecientes que se van a presentar durante la vida útil de una obra es claro que las estructuras se pueden diseñar con una gran confianza en cuanto a los aspectos técnicos y económicos. En efecto, la estabilidad de la obra durante la vida útil de diseño depende en gran parte de su capacidad para soportar los efectos que se producen sobre la estructura cuando pasan las crecientes extraordinarias. Estos efectos se traducen en impactos, presiones, socavación, taponamientos y desbordamientos.
Los pilares en los cuales descansa el cálculo de las crecientes futuras probables para el diseño de obras hidráulicas son tres:
  1. El riesgo de falla en la capacidad hidráulica o en la estructura de la obra.
  2. El régimen de aguaceros en la cuenca que alimenta la corriente natural que llega a la obra.
  3. Las características físicas, de almacenamiento, estabilidad, erosión, infiltración y uso de la tierra de la cuenca ya definida.
Métodos de cálculo
Mucho se ha escrito en la bibliografía especializada sobre el cálculo de las crecientes de diseño. Los métodos que se recomiendan varían entre la aplicación de conceptos de estadística y probabilidad a registros históricos de caudales máximos y el uso de fórmulas que relacionan algunas características de la hoya vertiente con las lluvias de corta duración o aguaceros.
En el presente artículo se analizarán solamente dos métodos, advirtiendo que existen otros más sofisticados, aunque no son necesariamente mejores.
1. Análisis de registros históricos de caudales máximos.
Como se explica en los libros de Hidrología la serie histórica de caudales máximos de una estación hidrométrica se conforma con los picos de los hidrogramas si la estación está equipada con limnígrafo o con los registros de maxímetros si la estación está compuesta por una batería de miras.
Para asegurar la independencia de los datos de la serie se recomienda tomar un solo valor por cada año de registro, el máximo.
El análisis estadístico de la serie de máximos históricos permite establecer la confiabilidad de la serie en cuanto tiene que ver con la longitud del registro y la consistencia de la información. Luego de que se establece la confiabilidad de la serie se procede a calcular los estadísticos que van a representar el régimen histórico de las crecientes; estos estadísticos son Promedio (X), Desviación Estándar (SD) y Coeficiente de Asimetría (Ca).
Posteriormente, utilizando métodos de Inferencia Estadística, se calculan los parámetros de la población para aplicarlos en el pronóstico de probabilidad de las crecientes futuras; estos parámetros son Esperanza Matemática (µ), Varianza (var) y Coeficiente de Asimetría (Cs).
Por último, se selecciona una distribución de probabilidades y se calculan los picos de creciente para Períodos de Retorno (Tr) determinados. Como se sabe, el período de retorno es una medida de la probabilidad de que un evento de una determinada magnitud sea igualado o excedido por lo menos una vez en un año cualquiera. Así, la creciente de 100 años es la creciente que tiene probabilidad p(x) del uno por ciento de presentarse o ser superada por lo menos una vez en un año cualquiera.
La magnitud de la creciente de período de retorno Tr se calcula con la expresión:
Qt = µ + k s
donde Qt es el caudal pico de período de retorno Tr, µ es la esperanza matemática de la serie, s la raiz cuadrada de la varianza; k es el nivel de probabilidad o sea el factor de frecuencia de la distribución de probabilidades seleccionada, en función del período de retorno Tr.
El método tiene el inconveniente de que analiza con un gran rigor matemático la teoría de las probabilidades pero no tiene en cuenta los factores físicos de la corriente de drenaje y de su cuenca vertiente.
Este método es útil en el cálculo de picos de creciente para diseño de sistemas de drenaje urbano, sistemas de drenaje de carreteras y aeropuertos, puentes, y protección de obras hidráulicas pequeñas en ríos, como captaciones, desarenadores y conducciones. No es recomendable para el diseño de aliviaderos en presas de embalse; en este caso es preferible utilizar métodos de cálculo basados en las relaciones que existen entre la lluvia máxima probable, la cuenca y el caudal máximo probable.
2. Relaciones entre Cuenca, Lluvia y Caudal.
El análisis cuidadoso de la relación que existe entre las características físicas de la cuenca, los factores de la lluvia y los hidrogramas de creciente ofrece al Ingeniero un panorama amplio de conocimiento sobre la formación de los caudales extraordinarios y le permite hacer un pronóstico relativamente confiable sobre los eventos futuros de esta naturaleza.
El término pronóstico relativamente confiable se utiliza aquí para expresar que, auncuando existe la incertidumbre propia de todo pronostico, los resultados que se obtienen en el análisis tienen órdenes de magnitud adecuados a las necesidades de los diseños. Debe recordarse que siempre que se hace un pronóstico existe la posibilidad de fallar. Lo que se busca en los estudios hidrológicos es lograr que la probabilidad de falla sea pequeña.
El primer paso en el análisis consiste en la recolección de información cartográfica, pluviográfica y limnigráfica para delimitar la cuenca vertiente, determinar sus características morfométricas, geotécnicas y de uso del suelo, y seleccionar hidrogramas históricos de creciente junto con sus respectivos aguaceros.

El procedimiento continúa con el cálculo de hidrogramas unitarios o con la programación de modelos matemáticos de escorrentía que se calibran con la información histórica existente.
Por último se hace una síntesis probabilistica de los aguaceros de corta duración y se establecen las curvas de Intensidad-duración-frecuencia. Las curvas se aplican luego al hidrograma unitario o al modelo matemático para obtener pronósticos de los hidrogramas de creciente futuros.
2.1. Cuencas pequeñas.
En Hidrología una cuenca pequeña no se define solamente por su tamaño. Es más importante en su definición el concepto de Cuenca Homogénea.
Una Cuenca es Homogénea cuando tiene las mismas características físicas y de almacenamiento en toda su área. Por ejemplo, si una cuenca en una zona montañosa tiene una pendiente relativamente uniforme en las laderas que vierten a la corriente de drenaje y además el cauce de la corriente tiene una pendiente longitudinal constante, y el uso del suelo es similar sobre toda el área, la cuenca puede considerarse como homogénea.
En general, las cuencas homogéneas tienen limitaciones de tamaño y es difícil encontrar cuencas montañosas homogéneas mayores de 25 km2, y cuencas de llanura homogéneas mayores de 100 km2. Por esta razón es conveniente definir en Hidrología una cuenca pequeña como aquella que tiene las características de una cuenca homogénea.
En una cuenca pequeña el cálculo de las crecientes es sencillo porque basta un solo hidrograma unitario o un modelo matemático univariado para definir la relación lluvia-cuenca-caudal.
2.2. Cuencas grandes.
Cuando una cuenca no es homogénea se considera como una cuenca grande. El procedimiento en este caso consiste en dividir la cuenca grande o principal en varias subcuencas homogéneas, hacer un análisis de crecientes en cada subcuenca homogénea y luego transitar los resultados a lo largo de la corriente principal.

Con este procedimiento se determinan tantos hidrogramas unitarios como subcuencas homogéneas se hayan definido, o se formula un modelo matemático multivariado.
De acuerdo con la calidad de la información disponible el tránsito de las crecientes a lo largo de la corriente principal puede realizarse por métodos hidrológicos o hidráulicos.
Entre los métodos hidrológicos conocidos están el método Muskingum y el de Superposición y Traslado de Hidrogramas. Los métodos hidráulicos están basados en la Teoría del flujo no permanente en canales.